经历过2020最难考研数学后,前辈们给21数学复习提出什么样的建议呢?
本篇约11200字,原创不容易,若有收成请文末来个赞,以鼓舞创做更多优良内容!
2020年数学测验完毕后到如今的7月,各路平台上不断在议论考题的难易。
有人说标题问题几乎难爆了,有人说与往年持平,有人说标题问题新颖没见过,有人灰心地宣扬"实题无用论"……总体来说,认为考题难的声音更多一些。
但,无论若何评价实题的难度,都只是小我的主不雅感触感染,与小我的复习程度有关,不敷客不雅。不克不及因为说难的人多,就受从寡心理影响,本身也跟着认同,从而对考研数学产生畏惧。克制从寡心理,独立客不雅地阐发问题,才是难能宝贵的。
我认为,评测实题难易水平的一个重要客不雅目标是:能否在历年实题中呈现过类似实题。历年实题,相当于一个对每小我都开放的公共题库,若是在历年实题中呈现的类似题型的数目比力多,就能够断言,实题很有用!
接下来,会以2020年数学一实题为例,先统计类似实题情况并数据可视化,再给出结论,最初,详细给出每一道题的思绪、详细解析、难易度、立异度、类似实题。
为什么要做那项工做?一是给21年考数学的考生一颗定心丸,以至很多考生都被20年实题吓得改了目的专业;二是想告诉各人,你们不断对峙的概念是没错的——实题是最有价值的习题!
一、历年类似实题统计
统计以数一实题为主,其他类别为辅,且某些题只列出一部门类似实题从上述表格可知两点:
一、绝大大都标题问题(21道)都有“原型”;
二、良多比力立异的标题问题与早期(2008年以前)的实题题型十分类似。本文通篇看完你会发现,当范畴放大到更早年份的实题时,本年的良多貌似新颖的标题问题并非非常地“立异”。
当然,2008年以前纲领不断在做调整,整体难度要比之后的年份略高一点。
那还需要什么考前押题班?实题就是了啊,你想要的都在实题中!有兴趣的同窗能够鄙人文的实题详细解析part比照一下。下面继续来看分值比例。
二、统计成果的饼状图有类似实题的(高类似度):16道题,共102分;
有类似实题的(中类似度):5道题,共27分;
没有类似实题的:2道题,共21分。
从饼状图能够看出,若是实题做的十分熟练,更高能拿到有高类似度的类似实题的标题问题分数(102分),题型和思绪都是高度类似的,努勤奋,过国度线应不成问题;
若是思维能略微转个弯,能触类旁通的,进一步能拿到有中类似度的类似实题的标题问题分数(27分);
剩下没有类似实题的标题问题分数(21分),只能靠日常平凡积累的根本功力,详细问题详细阐发了。此中,第19题是高数压轴题,确实难,第一问略难,只要想到用拉格朗日,就有可能推出来,第二问很难,那5分能够放弃。第22题很新颖,但说实话其实不难,思绪与一维随机变量函数的求法几乎一样。
换句话说,若是把实题练得非常熟练,凭仗历年实题中的类似题型就能在2020年的测验中拿到更高129分。
三、得出结论从上述阐发中,可见实题的重要性。实题的复现率很高,是最有价值的习题册。复习中,应越早训练实题越好,训练的遍数越多越好。当你实正做完各类xxx题、冲刺x套卷等习题和模仿题后,会发现只要实题的难度是最得当的,其他题库中很大比例的题,要么简单、要么太难、要么综合性不敷。以至有的标题问题难到让人瓦解,看谜底都看不大白思绪,平白做了良多无用功。所以说,实题的标题问题量量远超任何题库。
每年的数一实题有23道摆布,30多年就是690余道,加上数二数三中不异范畴的标题问题,共1000多道合适训练的好题,数量和题型足够。
实题是一个近在手边的宝藏!良多同窗晓得那个事理,但在现实中却往往不敷重视实题。
为什么?
因为很多人选择的战略是先苦后甜,老是喜好把好工具留到最初享用,认为要先到达必然程度后再训练实题,认为太早做实题会浪费实题的价值。成果,曲到10月前不断都在做其他习题,10月后渐渐做上一遍实题就上考场了。各类标题问题却是做了很多,但量量不敷,且做得泛而不精!对常识框架和思维定势的培育其实不到位。
实题的价值只考前过一遍就能闪现出来吗?那也是影响最末考研成就的一个重要的认识不合!通过实题,一方面可提炼、熟悉常考题型,另一方面可完美常识框架和思维定势。那都是需要频频、多轮、深切研究实题才气做到的!
正所谓,滴水能穿石,铁杵磨成针,专一的力量是强大的!
举个例子,2020年数一第3题(标题问题见下文)。看选项求的都是二重极限,在思维中马上调出常识框架,二重极限的求法有如下办法:①化简(四则、等价无限小代换、根式有理化、提非零因子,等等);②操纵“无限小量×有界量=无限小量”; ③夹逼定理;④通过变量替代,转化为一元函数极限;⑤操纵可微的充要前提求特定形式的极限。好,挨个儿把那五个办法都试验一边,快速排除不成能的,最末必然有一个办法好使!那就是成立在完美常识框架上的穷举法。练实题到达必然境界后,碰到问题,思维中各类常识框架、思维定势背得纯熟,信手拈来,那才算出师。
选最棒的标题问题,做最精的训练!进入强化阶段以后,若是你起头复习比力晚,那么实题更应放在前面,做为主力训练题,其他习题册和模仿题册应放在后面,做为弥补训练,会更有效一些。那种复习战略可能与良多人的认知不符,但出格合适那些复习时间不敷用的同窗。
无论若何选择训练标题问题,拿笔算一下时间,xxx题做完要用几个月?实题做完要用几个月?做个时间表,在考前给实题预留下足够的时间!
下面是一些小小的战术细节:
若是你在9月初还在做各类各样的习题,还没起头啃实题,更好尽快起头啃,实题值得频频啃到测验前夜;若是实题只啃一边,一个月后印象会变淡,以至连思绪可能都记不起了,只记得曾经做过。所以,每一道实题都值得频频揣测三遍以上,更大程度强化记忆;若是你的实题书很薄弱,只要10或15年,更好花点钱,买一本更全年份的,30多年的更好了;若是你的实题书不是分类、分题型解析的,更好再花点钱,买一天职类解析的,有利于归纳题型;若是你啃完一套只要单一解法的习题书,无妨换一套以多种解法为特点的实题书再啃一边;若是你已经啃了三遍以上实题,无题可做时,能够买其他类此外不异范畴的实题来做(好比考数一的买数二数三来做),绝对会大有裨益。若是啃分类题型时,为了细嚼慢咽而放慢了节拍,能否能够考虑在冲刺阶段用套卷来训练速度?提早适应考场节拍?当上述那些 “精练” 都做完以后,再回头来看,本身的程度是不是扎扎实实地进步到了让本身都惊讶的地步?踏上考场时,还会担忧本年标题问题难吗?
四、附上2020年数学一实题的超详细解析(可能是最详尽的解析)数二、三统计后续发,可存眷同名公号,之前发过一篇辅导教材的评测,7月中下旬会发一篇关于实题辅导书的评测和关于实题解题思维的文。暑假会在知乎曲播,研究实题及其背后的常识框架。


【阐发】开门见“山”,开卷就碰到一道貌似很复杂的题,搞不定的话会压力山大。碰到少见题型,怎么办?常识框架+思维定势!先在思维中的常识框架中搜刮相关考点,“无限小量中更高阶”显然是考“无限小阶的比力”嘛,OK,那是一个求除式极限的问题,马上想到用“洛必达法例”上下同时求导,并且四个选项都是变上限积分函数,立马思维定式:碰到变上限积分,先求导再说!那么思绪有了吧,无限小量比力+洛必达法例+变上限积分求导,动笔……

【总结】带有变上限积分的无限小量比力问题,多年未考了,若是只做近15年实题,可能会遗憾错过。所以,建议买一本20年或30年的更全的实题,早期题的重现率比来几年有所上升。
【难度】★★☆☆☆
【立异】★★★☆☆
【类似实题】类似度:高

【阐发】题干没太多有用信息,看选项都是围绕“可导”。 A,BA,B 是可导的充实前提,属于“操纵导数定义判断可导性”类题型; C,DC,D 是可导的需要前提,属于“操纵导数定义求极限”类题型。别的,选项中带有根号和绝对值,应与极限存在的充要前提有关。

【总结】凑导数定义时,先添项凑出尺度形式,再补项使之恒等。常考题型,不该失分。
【难度】★★☆☆☆
【立异】★☆☆☆☆
【类似实题】类似度:高

【阐发】先看四个选项,求的都是二重极限,马上挪用常识框架,二重极限的求法有:①化简(四则、等价无限小代换、根式有理化、提非零因子,等等);②操纵“无限小量×有界量=无限小量”; ③夹逼定理;④通过变量替代,转化为一元函数极限;⑤操纵可微的充要前提求特定形式的极限。
按理来说,要挨个儿把那五个办法都试验一边,但标题问题前提给了“可微”,能够做出合理揣度:应该是操纵了可微的充要前提来计算极限。前提还给出了 (0,0)(0,0) 点的法向量 ,以及切平面上的某向量。先把每个选项的点乘和叉乘展开再说。
【难度】★★★☆☆
【立异】★★★★☆
【总结】本题考点:向量代数+可微的定义+函数绝对值的极限。其实本题不消做,就能间接看出谜底来!因为 B,DB,D 选项都是求向量外积的模,那个求起来计算量太大了,选项 CC 是内积,但 却该向量又没详细给出,所以只可能是 AA 。当然为了保险起见,验证一下 AA的准确性就行了。
【类似实题】类似度:中

【阐发】起首,发现变量换了个写法——把常见的幂级数的 xx 间接换了个写法 rr ,其实是为了求新而求新啊。察看标题问题,已知收敛半径,要求相关区间的敛散性问题,马上反响出那是一个关于阿贝尔定理的问题。

【总结】考察对收敛半径定义掌握的准确水平,那种问题的关键在于 ±R\pm R
处点的收敛性。
【难度】★★☆☆☆
【立异】★★★☆☆
【类似实题】类似度:中

【阐发】一打眼就是考察矩阵的有关初等变更的定理,很容易得出谜底。

【总结】常考题型,很简单。
【难度】★☆☆☆☆
【立异】★★☆☆☆
【类似实题】类似度:高

【阐发】“订交于一点”那个前提能推出什么结论呢?就是联立两个方程,但那个方程是点向式的,转化为参数式才便利联立。选项都是关于线性相关性和线性表出的,操纵定义,找出关系即可。

【总结】空间解析几何与线性代数连系的题型,考察的内容其实不深切,但需要准确变更才气得到成果。
【难度】★★☆☆☆
【立异】★★★☆☆
【类似实题】类似度:高

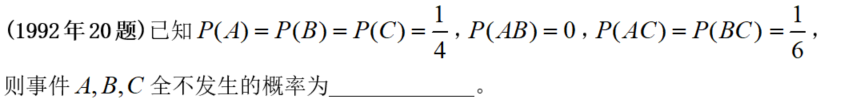
【阐发】那类概率题的思绪就是算一步看一步,算到中间某步,会用到已知前提,得出成果。别的,此类题,有个思维定势:看到 P(AB)=0 ,一般会有 AB 的一个子集,其概率为 0 。

【总结】事务的运算+概率的性量。留意,标题问题中呈现概率为 0 或 1
的时候,必然要加以操纵。
【难度】★★☆☆☆
【立异】★☆☆☆☆
【类似实题】类似度:高

【阐发】本题间接考察中心极限制理,能够间接背公式,也能够记住原理,现场推导。

【难度】★☆☆☆☆
【立异】★★★☆☆
【总结】大数定律和中心极限制理的公式,建议双管齐下,既死记硬背,又记牢原理,忘了也能分分钟推导出来。那么多年以来第一次在数一中考察大数定律,但数三曾屡次考过。
【类似实题】类似度:高

【阐发】先间接代入,是\infty-\infty 型,再挪用常识框架,该类型的处置办法凡是有四种:①通分;②有理化;③提因子;④变量代换(尤其是倒代换)。此题是分式,故通分。接下来,进一步化简,化到不克不及再化简后,运用洛必达法例,搞定。

【总结】送分题,要包管准确率。
【难度】★☆☆☆☆
【立异】★☆☆☆☆
【类似实题】类似度:高

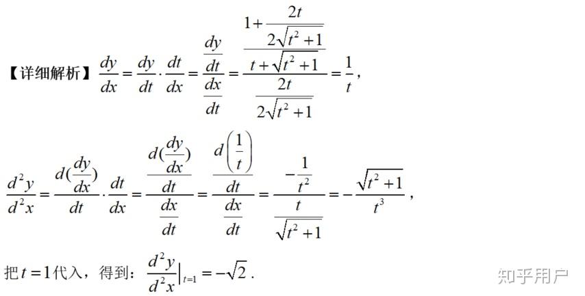
【阐发】参数方程求二阶导的题型。代入公式间接求即可。

【总结】送分题,必拿分。
【难度】★☆☆☆☆
【立异】★☆☆☆☆
【类似实题】类似度:高

【阐发】属于稀有题型,没什么套路,所以用“前提结论阐发法”。看前提,有个高阶微分方程,马上想到可能要求通解;再看结论,是个广义积分,求出原函数,代入极限即可,但关键是:笼统函数求不出原函数啊!所以,笼统函数只能笼统来算,找笼统关系式。前提中正好有一个关系式,能够代入尝尝,正好能求出原函数。

【总结】本题确实又新颖又难,需要讨论,计算量比力大,会耗时6-10分钟。16年曾经呈现过一次类似题型,若是对实题熟悉,最最少会有思绪!
【难度】★★★★★
【立异】★★★★☆
【类似实题】类似度:高

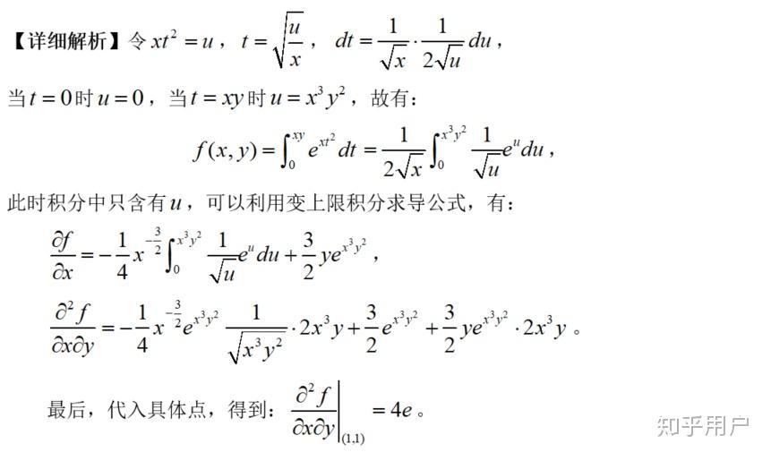
【阐发】那是个常见题型——被积函数同时含有上限变量 x 和积分变量 t 的变限积分的求导。但又有所立异,又连系了混合偏导数的计算。起首,把那个变限积分求出来,操纵常识框架,核心思惟是让被积函数中只含有积分变量,而不含 。又分为两种情况:①情形一:被积函数中的 可别离,则把含 的表达式提到积分号外。②情形二:被积函数中的 不成别离,则需要做换元处置。此题显然属于情形二,要做换元。

【总结】一道很新颖的“混合了上限的变上限积分”+“混合偏导数计算”标题问题。
【难度】★★★☆☆
【立异】★★★★☆
【类似实题】类似度:中


【阐发】操纵常识框架,数值型行列式有两类解题思绪:(1)操纵行列式的性量,将所求行列式化简,凡是转化为上述几类特殊特殊行列式(尤其是上下三角行列式)或变形出尽可能多的零元素;(2)操纵行列式展开公式,把行列式的阶数降低(有时会用到递推法)。凡是那两类解题思绪能够共同利用。
关于低阶行列式,先操纵行列式的性量,变形出尽可能多的零元素,更好是某一行只含1或2个零元素,于是就能够按那一行展开,转化为三阶行列式,而三阶行列式是有公式的。
【总结】低阶数值型行列式
的处置办法要心中有数。当然本题操纵性量化简还有良多种解法。
【难度】★☆☆☆☆
【立异】★☆☆☆☆
【类似实题】类似度:高

【阐发】本题考察协方差的性量和计算,其实不难,中间步调必定会用到求随机变量的期望或随机变量函数的期望。

【总结】协方差公式
+期望计算。
【难度】★★☆☆☆
【立异】★★☆☆☆
【类似实题】类似度:中

【阐发】一道十分尺度的多元函数求无前提极值问题,十分简单。操纵常识框架,需要前提求范畴,充实前提再挑选。

【总结】送分题,要包管准确率。
【难度】★☆☆☆☆
【立异】★☆☆☆☆
【类似实题】类似度:高

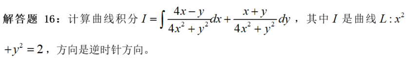
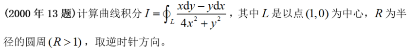
【阐发】操纵常识框架,第二类曲线积分的计算有“三大根底性办法”(包罗间接计算、格林公式、积分与途径无关定理)和“两小技巧性办法”(包罗曲线方程代入被积函数、对称性)。简单验算一下,发现 \frac{\partial Q}{\partial x}-\frac{\partial P}{\partial y} 为零,故我们选用格林公式。但要留意格林公式的前提,一曲直线 L 必需封锁且正向;二是 P(x, y), Q(x, y), \frac{\partial Q}{\partial x}, \frac{\partial P}{\partial y} 那四个函数在平面闭区域 D 上必需持续。本题满足第一条,但不满足第二条,有一个不持续点 (0,0) ,该点处分母是零。响应的处理办法是“挖洞法”,且按照分母形式来找“洞”,即找一个小封锁曲线 4 x^{2}+y^{2}=\varepsilon^{2} ,使得积分容易处置。

【总结】那是一道十分典型、常见的考题,以至和一些辅导书的原题几乎一模一样,那个分数应该是必拿的,但此题独一的难处在于计算量,若是不纯熟的话,用时会超出均匀时间。
【难度】★★★☆☆
【立异】★☆☆☆☆
【类似实题】类似度:高

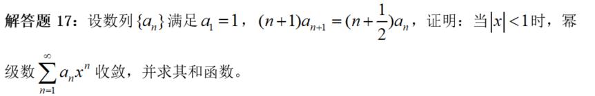
【阐发】先证明后计算。认真阅读那个证明题,其实也是一个求幂级数的收敛区间的计算题。操纵常识框架,马上想到求收敛半径的两种手段:一是一般幂级数 \sum_{n=0}^{\infty} u_{n}(x) 情形(可能出缺项);二是尺度幂级数 \sum_{n=0}^{\infty} a_{n} x^{n} 情形(不缺项)。本题那两种手段都能够,我们用第一种。用比值法 \lim _{n \rightarrow \infty} \frac{\left|u_{n+1}(x)\right|}{\left|u_{n}(x)\right|}=\rho(x) ,令
【总结】本题用到的 微分方程法,但历年考研中也曾几次考察过,若是对实题熟悉,思绪应该能想到,但本题算是此中最难的,因为需要本身找到关系式!本题次要难在那儿!
【难度】★★★★☆
【立异】★★★★☆
【类似实题】类似度:高

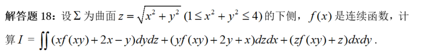
【阐发】挪用常识框架,第二类曲面积分的计算有如下办法:三大根底性办法”(包罗间接计算、合一投影法、高斯公式)和“两小技巧性办法”(包罗曲线方程代入被积函数、对称性)。此中,被积函数中含有笼统函数招致高斯公式利用未便,且分面投影的间接计算法也不成行,所以,能够锁定处理办法为:合一投影法。合一投影法素质上是操纵两类曲面积分之间的关系,先转化为第一类曲面积分,再转化为某一坐标面上的二重积分。

【总结】关于第二类曲面积分,历年考研大多考察高斯公式,但本题另辟门路,被积函数是笼统函数
,合适用合一投影法。只要思绪有了,会发现现实计算其实不难。
【难度】★★☆☆☆
【立异】★★★★☆
【类似实题】类似度:高

【阐发】察看第(1)问,含有一个中值的导数,能够阐发出本题应该用到拉格朗日中值定理。本题给了三个点 x=0,2 以及使得 \left| f(x) \right| 取到更大值 M 的 x_{0} ,那么必定应该是在那三个点构成的两个区间上别离应用中值定理。第(2)问属于出格难那种证明题。结论中含有 \forall ,故可考虑用反证法。

【总结】本题第一问中规中矩不算难,拉格朗日套用上,讨论一下就行了,做不出来只能怪本身根底不老了。但第二问是证明题中的难题,把拉格朗日和莱布尼茨公式连系起来用,那种思绪很难想到,所以那5分其实不克不及强求。
【难度】★★★★★
【立异】★★★★☆
【类似实题】无
【阐发】本题比力新颖, A 经正交变更到 B ,两个二次型矩阵是什么关系?要熟悉原始的推导过程: f(x)=x^{T} A x=(Q y)^{T} A(Q y)=y^{T}\left(Q^{T} A Q\right) y=y^{T} B y=g(y) ,可见,两个二次型矩阵的关系是:既合同 B=Q^{T} A Q 又类似 B=Q^{-1} A Q (因为 Q 是正交矩阵)。通过合同和类似的一些性量,就能求出系数。第二问求正交矩阵,那个需要转换思绪,我们只会求 A \rightarrow \Lambda 和 B \rightarrow \Lambda \text {} 时的正交矩阵,但因为 A,B 类似,有不异的特征值,故都可化为统一个对角矩阵 \Lambda ,所以别离求出两个正交矩阵,通过 \Lambda 得到关系式,最初变更为 B=Q^{T} A Q 的形式,即可得到成果。

【总结】第一问是两个矩阵类似,操纵性量求矩阵中的未知量,与2015年和1998年的实题十分类似。第二问是求 P^{-1} A P=B 中的可逆矩阵 P
,那与2015年的第二问类似但有一些不同。与其解题思绪一致的是2002年的第三问。
【难度】★★★☆☆ 中等
【立异】★★★★☆ 比力新颖
【类似实题】类似度:中

【阐发】操纵常识框架,矩阵可逆的证明办法常用的有:①定义;②行列式不为零;③ r(A)=n ;④行(列)向量组线性无关;⑤构成的方程组有独一解;⑥特征值全不为零;⑦ A^{T} A 是正定矩阵。挨个试一下,本题中前提比力少,并且不是详细向量,所以我们选择④,判断列向量组能否线性无关。用线性无关的定义,连系已知前提,很容易证得。第二问较难一些,良多同窗卡在了开头的关键思绪上,此题最关键的思绪是:因为矩阵 是笼统的,其逆矩阵求不出,所以若求 B=P^{-1} A P ,只能做变形处置,即 P B=A P 。那是个常见的处置办法,特征值、特征向量的求法就来源于此。

【总结】本题计算量不大,但很新颖,关键思绪较难想到。但曾经有一年实题考过非常类似的题型,其处理办法是一样的。
【难度】★★★★☆
【立异】★★★★☆
【类似实题】类似度:高

【阐发】第一问求结合散布函数,与一维情况一样,先写出散布函数定义,再停止事务的运算化简。题中一个离散型,两个持续型,可揣度出必然会用离散型做为完整集来朋分全集。思绪选对了,详细施行起来会发现,本题其实不难。

【总结】求二维随机变量的散布函数的题型,之前的实题中从未呈现过,但其思绪与求一维随机变量函数的散布非常类似。
【难度】★★★☆☆
【立异】★★★★★
【类似实题】无
【阐发】已知散布函数,能够求肆意事务的概率,第一问很简单。第二问也是一个中规中矩的求更大似然估量的问题。对更大似然函数,先取对数,再求导,最初求得极值,尺度一套流程。

【总结】没想到以如斯简单的一道题结尾。而往往考生卡在中间难题,没有时间做后面的概率题。所以,强烈保举一个解题战略:高数和线代可能会呈现难题,碰着难题,立马弃捐,优先把相对简单的概率标题问题做完,然后回过甚来再解难题。
【难度】★★☆☆☆
【立异】★★☆☆☆
【类似实题】类似度:高
版权声明
本文仅代表作者观点,不代表木答案立场。
