中国政法DX汉语国际教育研究生前景?
中国政法DX汉语国际教育研究生前景?
中国政法DX汉语国际教育研究生, 汉语国际硕士专业经过十多年的发展已经比较成熟 ,虽然汉硕专业属于专业硕士, 由于汉语热和汉硕可以出国等优势一直是 小语种专业有出国意向的优势,至使该专业的复试分数线屡创新高, 竞争十分激烈 。
中国政法DX研究生35岁有前途吗?
非常有前途。因为中国政法DX是名校,是国内政法专业最高学府,研究生学历在政法系统正是如鱼得水,35岁年富力强,正是干事创业的年纪,所以前途非常看好,当然也要看个人机遇。学政法可以干律师,搞行政,或者法律顾问等,都是很挣钱也很有前景的职业。
中国政法DX汉硕2022招生吗?
答,首先我们来看一下,什么是汉硕呢?汉硕的全称是汉语国际教育硕士,主要是指面向海外母语非汉语者的汉语教学,即针对汉语作为第二语言的教学工作。简单的说,就是改革完善汉语,在国际上推广汉语的专门型人才。汉语国际教育硕士,是一个专业型的硕士,简单地说就是将理论与实践相结合,更偏向于实践应用的这么一个硕士学位。
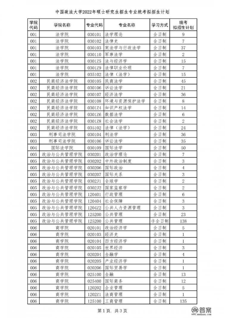
下面是该DX2022年硕士研究生招生计划



从该招生表查看,本年度没汉硕招生计划。
中国人民DX和中国政法DX的法律硕士选择哪个好?
肯定是中国政法DX啊中国政法DX(China University of Political science and Law),简称法大,诞生于1952年,位于中国的首都北京,是中华人民共和国教育部直属的一所以法学为特色和优势,兼有文学、史学、哲学、经济学、管理学、教育学等多个学科门类协调发展、具有鲜明特色的全国重点DX。系国家“211工程”、“985工程优势学科创新平台”项目重点建设,列入首批“2011计划”、“111计划”、“卓越法律人才教育培养计划”。被誉为“政法人才的摇篮”。
版权声明
本文仅代表作者观点,不代表木答案立场。
