2021年全国DX录取分数线排名?
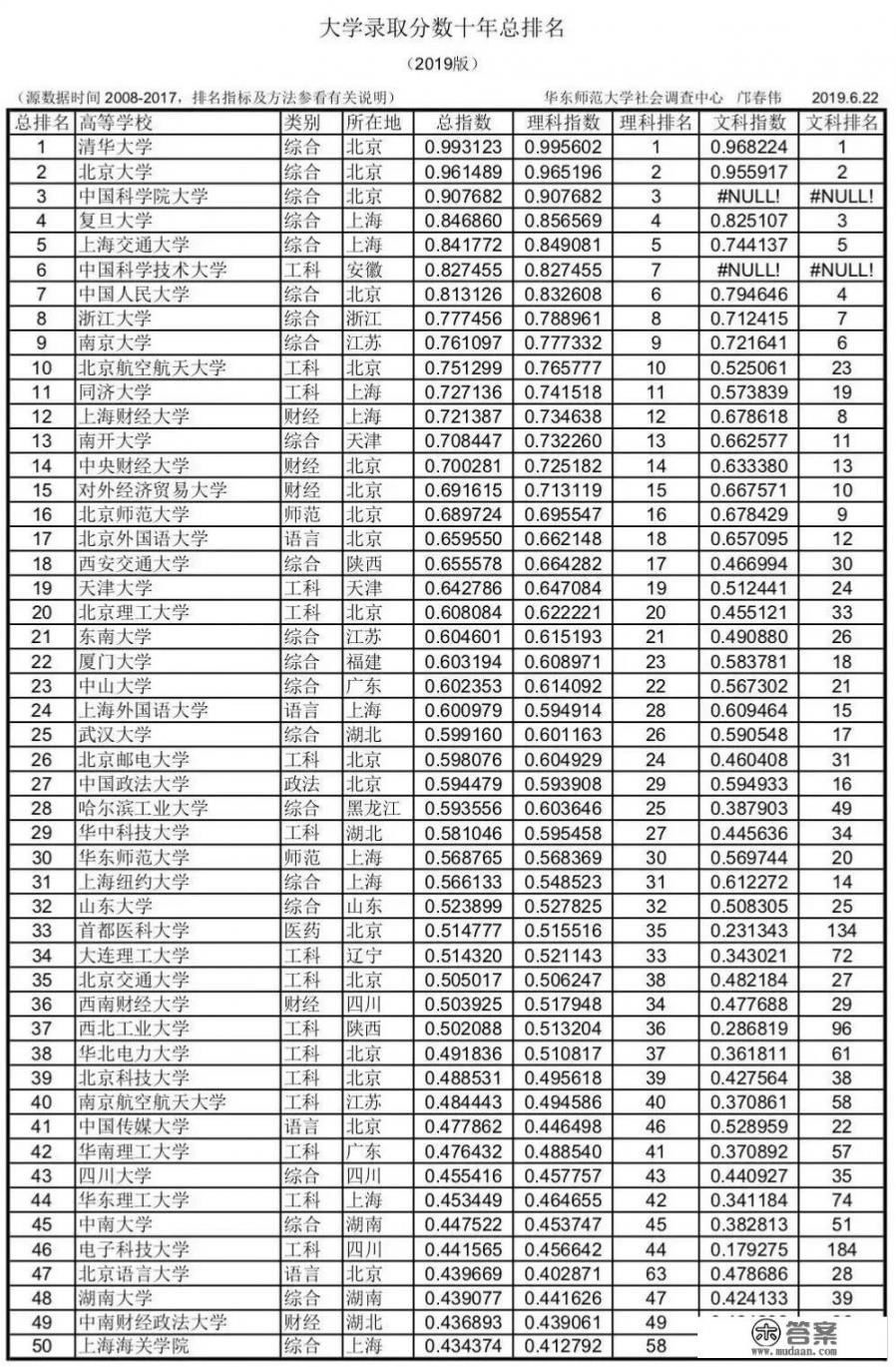
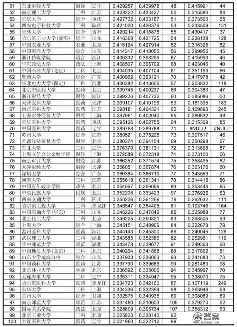
在高考录取的紧张时刻,我们不难发现,DX录取分数线的排名不仅反映了高校的学术实力,还深刻体现了社会对不同类型高校的认可度和追捧程度,从历年数据来看,清华、北大、中科院DX等顶尖学府始终占据着榜首位置,这无疑是对其卓越教学和科研实力的肯定,除了这些老牌强校外,财经、语言和政法类院校也因其专业特色和就业前景而备受考生青睐,其录取分数线紧随其后,甚至在某些年份有赶超之势。 值得注意的是,地域因素对高校录取分数线的影响也不容忽视,地处直辖S与沿海地区的院校,如上海、北京、天津、江苏和浙江的高校,因其经济发达、教育资源丰富而备受追捧,其录取分数线普遍较高,相反,地处偏远或经济相对落后的地区的高校,如青海、贵州、河南、江西和宁夏的高校,其录取分数线则相对较低。 高校的招生策略和专业设置也是影响其录取分数线的重要因素,中国科学院DX虽然作为双非院校(非985、211工程院校),但由于其强大的科研实力和独特的招生策略(如仅面向部分S份招生),其录取分数线依然高居不下,同样,像上海纽约DX这样的国际化综合性DX,因其全球化的教育资源和独特的办学模式,也吸引了大量考生的目光,其录取分数线自然不低。

虽然今年的高考录取工作尚未完全结束,但通过对比历年数据和当前趋势,我们可以大致推测出一些重点高校的录取分数线排名情况,这无疑为即将面临高考的考生提供了宝贵的参考信息,帮助他们更好地规划自己的未来,也希望各高校能够继续保持自己的特色和优势,为国家和社会的进步培养更多优秀的人才。

版权声明
本文仅代表作者观点,不代表木答案立场。
